|
通渭县2023年国家免费孕前优生健康检查项目绩效评价报告 |
||||||||||||||||||||||||||||||||||||||||||||||||||||||||||||||||||||||||||||||||||||||||||||||||||||||||||||||||||||||||||||||||||||||||||||||||||||||||||||||||||||||||||||||||||||||||||||||||||||||||||||||||||||||||||||||||||||||||||||||||||||||||||||||||||||||||||||||||||||||||||||||||||||||||||||||||||||||||||||||||||||||||||||||||||||||||||||||||||||||||||||||||||||||||||||||||||||||||||||||||||||||||||||||||||
|
||||||||||||||||||||||||||||||||||||||||||||||||||||||||||||||||||||||||||||||||||||||||||||||||||||||||||||||||||||||||||||||||||||||||||||||||||||||||||||||||||||||||||||||||||||||||||||||||||||||||||||||||||||||||||||||||||||||||||||||||||||||||||||||||||||||||||||||||||||||||||||||||||||||||||||||||||||||||||||||||||||||||||||||||||||||||||||||||||||||||||||||||||||||||||||||||||||||||||||||||||||||||||||||||||
|
项目名称:通渭县2023年国家免费孕前优生健康检查项目 项目单位:通渭县妇幼保健院 主管部门:通渭县卫生健康局 评价机构:通渭县城投项目咨询管理有限责任公司
目 录 (四)评价原则与方法 15
为进一步规范财政资金管理,牢固树立预算绩效理念,强化部门支出责任,提高财政资金使用效益,根据《中共中央国务院关于全面实施预算绩效管理的意见》(中发〔2018〕34号)、《财政部关于印发<项目支出绩效评价管理办法>的通知》(财预〔2020〕10号)、《甘肃省财政厅关于印发〈甘肃省省级预算绩效管理办法〉等6个办法和规程的通知》(甘财绩〔2020〕5号)、《中共通渭县委 通渭县人民政府关于预算绩效管理工作的实施意见》(通发〔2021〕37 号)及通渭县财政局关于印发 《通渭县县级预算绩效管理办法的通知》(通财发〔2022〕135号)等有关文件精神,我司精心组织,安排相关专业人员,抽调专门力量,对通渭县国家免费孕前优生健康检查项目的实施情况及资金的使用管理情况进行绩效评估。现将有关情况报告如下。 为加速实现出生缺陷综合防控,强化政府在出生缺陷防治工作中的主导作用,加大资金投入,全面落实出生缺陷三级预防措施,根据《国家免费孕前优生健康检查项目试点工作技术服务规范(试行)》(国人口发[2010]31号)、《国家免费孕前优生健康检查项目工作方案》(国卫办妇幼函[2016]894号)和《国家免费孕前优生健康检查项目管理工作规范(2019年版)》,按照省财政厅、省卫生健康委《关于提前下达2023年基本公共卫生服务中央及省级补助资金预算的通知》(甘财社[2022]94号)和定西市卫生健康委《关于印发2023年基本公共卫生服务重大传染病防控等妇幼健康服务项目实施方案的通知》(定卫疾控发[2023]5号)要求,由通渭县卫生健康局牵头,县财政局、县民政局配合,加大财政投入,将婚检经费、0-6岁儿童视力筛查经费、女性职工体检以政府购买公共服务等方式,列入县级财政预算。县妇幼保健院加强出生缺陷防控工作落实,加强对孕前优生健康检查、叶酸增补项目的实施和管理,全面推进目标人群项目全覆盖,不断夯实一级预防基础。规范出生证明办理和听力筛查在县妇幼保健院的运行模式,提高听力筛查准确率,保证筛查质量,并及时对阳性患儿转诊并救助。 2023年通渭县国家免费孕前优生健康检查项目(以下简称“该项目”)地方财政预算资金11万元,全部划拨至通渭县妇幼保健院,为全县育龄夫妇做孕前优生健康检查,降低出生缺陷率。使计划怀孕夫妇的孕前优生健康检查得到保障,2023年任务数1158对。 截止2023年12月31日,2023年通渭县国家免费孕前优生健康检查项目到位资金11.00万元;累计支出11万元,资金执行率100%,按照项目资金管理使用要求,项目经费全部用于技术检查。 为计划怀孕夫妇提供优生健康教育、病史询问、体格检查、临床试验床室检查、影像学检查、风险评估、咨询指导、早孕及妊娠结局追踪随访等19项孕前优生检查服务。 (1)优生健康教育。通过多种方式,向计划怀孕夫妇传播优生科学知识,增强出生缺陷预防意识,树立“健康饮食、健康行为、健康环境、健康父母、健康婴儿”的预防观念。积极引导夫妇接受知识、转变态度、改变行为,做好孕前准备。 (2)签订知情同意书。遵循知情自愿原则,详细介绍计划怀孕夫妇可以接受病史询问、体格检查、临床试验室检查、影像学检查、风险评估、咨询指导等孕前服务内容,让计划怀孕夫妇充分了解孕前优生健康检查的意义。在充分知情的基础上,征得夫妇双方同意,签订知情同意书。 (3)病史询问。询问夫妇基本信息和病史,了解准备怀孕夫妇和双方家庭成员的健康状况,识别影响怀孕生育的风险因素。 (4)体格检查。按常规操作完成男女双方体格检查。包括常规体检,如身高、体重、血压、心率等测量,甲状腺触诊、心肺听诊、肝脏脾脏触诊、四肢脊柱检查等操作;进行男、女生殖系统专科检查。 (5)临床试验室检查。共13项。包括血常规、尿常规、阴道分泌物检查(含白带常规、淋球菌和沙眼衣原体检测),血型(含ABO、Rh)、血糖、肝功能(谷丙转氨酶)、乙型肝炎血清学五项检测,肾功能(肌酐)、甲状腺功能(促甲状腺激素)检查,风疹病毒、巨细胞病毒、弓形体、梅毒螺旋体等感染检查。 (6)影像学检查。影像学检查1项:妇科超声常规检查。其他检查如胸部X线、精液检查、遗传性疾病筛查、染色体核型等特殊检查,各地根据需要自行确定。 (7)风险评估。综合分析计划怀孕夫妇问诊信息、体格检查、临床试验室检查、影像学检查结果,评估和识别计划怀孕夫妇存在的可能导致出生缺陷等不良妊娠结局的遗传、环境、心理和行为等方面的风险因素,区分一般人群和高风险人群,形成评估建议,一般人群完成检查后评估时限为7天,高风险人群完成检查后评估时限可延长至14天。 (8)信息保密。要注重保护服务对象隐私,特别是高风险人群的各项信息要严格保密,妥善保存相关资料。 (9)咨询指导。根据风险评估结果,遵循普遍性指导和个性化指导相结合的原则,为计划怀孕夫妇提供针对性的孕前优生咨询和健康指导。 (10)早孕及妊娠结局追踪随访。在完成评估后至少每3个月内随访一次,随访满36个月仍未怀孕的对象终止早孕随访,终止当月完成最后一次随访。对已经怀孕对象,在怀孕12周内完成早孕随访,指导接受相关服务。 对所有接受免费孕前优生健康检查并妊娠的妇女,在完成早孕随访后至少每3个月内随访一次,于分娩后6周内或其他妊娠结局结束后2周内,完成妊娠结局随访,了解并记录妊娠结局。指导夫妇落实避孕措施,告知产后保健和新生儿保健注意事项。 2023 年省级下达通渭县任务数为1158对,实际完成孕前优生健康检查1158对,任务完成率为100%。评估为高风险因素1034人(男26人、女316人、双方均高风险692人),占比44.65%。孕前优生调查人数2296人,计划怀孕夫妇优生科学知识知晓人数2208人,知晓率96.17%;应随访3819人,已随访3550人,受检对象随访率92.96%;已孕随访185人、妊娠结局随访率89.70%。实验室室间质评优良率达100%。 1.加强免费孕前优生健康检查项目的组织管理。县卫生健康局成立项目领导小组及办公室,结合通渭县实际情况,制定切实可行的项目实施方案。确定县、乡两级实施免费孕前优生健康检查定点医疗服务机构,明确各部门职责,落实保障措施,健全工作制度,督促落实项目宣传、技术培训、信息报送、项目督导等工作。着重解决各乡镇政府和乡镇卫生院在项目实施中工作职责不明、流程不畅、工作交接不清的问题。 2.积极主动联合多部门协作开展工作。联合民政、妇联等部门多形式多渠道开展健康教育、人才培训等工作、有关部门要将孕前优生健康检查项目工作与增补叶酸项目、婚前检查项目、孕期保健、产前筛查和产前诊断工作、妇幼健康及计划生育技术服务日常工作同部署、同检查、同落实。共同组织开展计划妊娠对象的摸底、登记、宣教、检查、指导及随访工作,尤其要做好高危计划妊娠对象的相关服务工作。 3.强化资金监管。县卫生健康局将加强专项资金监督管理,严格规范经费结算流程。监督县妇幼保健院严格遵循服务规范,认真提供各项服务,如实填写、录入家庭档案,据实结算服务经费,不得弄虚作假,确保经费专款专用。 4.县卫生健康局定期对项目开展情况进行督导评估。针对项目存在的进度缓慢、目标人群纳入不准确、风险评估不准确、随访不及时、不准确的问题,将任务完成率、人群纳入准确率、妊娠率、风险评估正确率、早孕随访率和妊娠结局随访率、计划怀孕夫妇优生科学知识知晓率、群众满意度等关键指标列为督导考核项目实施机构的指标。每年督导4次,覆盖辖区乡镇100%。 5.积极组织开展项目培训工作。对县、乡、村三级项目服务人员进行出生缺陷防治知识、孕前保健知识及技能培训,提高服务能力。 二、项目绩效目标根据通渭县妇幼保健院《2023年国家免费孕前优生检查经费绩效目标表》内容,该项目绩效目标为: 根据《定西市人民政府办公室关于进一步加强全市妇幼保健服务体系和服务能力建设的实施意见》(定政办发〔2021〕62号),形成政府引导、部门协作、社会参与的免费婚检工作机制。按2022年实际检查情况预算2023年婚前检查270对,每对295元,需资金(270*295万元)。②孕前优生健康检查经费12万元。根据《省财政厅 人口和计划生育委员会关于转发<财政部 人口计生委关于印发国家免费孕前优生健康检查项目试点专项资金管理办法(试行)的通知>》(甘财教〔2011〕3号)文件精神,2023年省级下达任务1158对,每对检查费用354元,省级基本公共卫生补助240元/对,2023年预计检查1158对,需县级资金1158*(354-240)=13.2(万元)。 本次绩效评价工作以结果为导向,通过运用规范的绩效评价指标体系和科学的绩效评价方法,全面、客观地从项目决策、项目过程、项目产出、项目效益四个方面对2023年国家免费孕前优生检查经费项目的实施效果进行综合评价,全面反映项目资金使用的规范性、合理性,以及项目资金投入与使用、项目实施后的效益发挥情况。同时,针对项目实施过程中存在的问题和不足,提出合理化建议,进一步提高资金使用及管理水平。 1.评价对象:本次绩效评价对象为2023年国家免费孕前优生检查项目经费11.00万元。 2.评价时间范围:2023年1月1日-2023年12月31日。 (2)《中共中央国务院关于全面实施预算绩效管理的意见》(中发〔2018〕34号); (3)《财政部关于贯彻落实〈中共中央国务院关于全面实施预算绩效管理的意见〉的通知》(财预〔2018〕167号); (4)《财政部关于印发〈项目支出绩效评价管理办法〉的通知》(财预〔2020〕10号); (5)《财政部关于印发〈地方政府专项债务预算管理办法〉的通知》(财预〔2016〕155号); (6)《国家免费孕前优生健康检查项目试点工作技术服务规范(试行)》(国人口发[2010]31号); (7)《国家免费孕前优生健康检查项目工作方案》(国卫办妇幼函[2016]894号); (8)《国家免费孕前优生健康检查项目管理工作规范(2019年版)》; (9)省财政厅、省卫生健康委《关于提前下达2023年基本公共卫生服务中央及省级补助资金预算的通知》(甘财社[2022]94号); (10)定西市卫生健康委《关于印发2023年基本公共卫生服务重大传染病防控等妇幼健康服务项目实施方案的通知》(定卫疾控发[2023]5号); (11)《中共甘肃省委甘肃省人民政府关于全面实施预算绩效管理的实施意见》(甘发〔2018〕32号); (12)《甘肃省财政厅关于印发〈甘肃省省级预算绩效管理办法〉等6个办法和规程的通知》(甘财绩〔2020〕5号); (13)《中共通渭县委 通渭县人民政府关于预算绩效管理工作的实施意见》(通发〔2021〕37号); (14)通渭县财政局关于印发 《通渭县县级预算绩效管理办法的通知》(通财发〔2022〕135号); (15)项目绩效目标申报表、绩效自评报告; (16)项目实施相关管理制度及执行记录资料,政府采购及招标相关手续文件及签订的合同等; (17)项目资金下达文件及相关支出凭证; (18)项目考核验收报告、工作总结汇报、反映实施产出与效益的相关数据及资料; (19)其他与项目相关的资料等。 (1)科学规范。本次绩效评价采用定量与定性相结合的方法,严格按照项目资金管理办法规定的资金使用范围和用途,对2023年国家免费孕前优生检查经费项目绩效评价工作做到指标合理、标准科学、方法适当、结果可信。 (2)绩效相关。本次绩效评价结果应当清晰反映2023年国家免费孕前优生检查经费项目绩效目标实现程度以及成本与绩效之间的对应关系。 (3)激励约束。此次绩效评价结果与预算安排、改进管理等进行实质性挂钩,体现奖优罚劣和激励相容的导向,有效安排、低效压减、无效问责。 (4)公开透明。评价结果客观、公正,标准统一,资料真实可靠,公开并接受监督。 根据本次绩效评价对象的具体情况,采用以下绩效评价方法对项目进行综合评价分析。 (1)比较法。通过对2023年国家免费孕前优生检查经费项目实施情况与绩效目标进行对比,在此基础上采取定量分析与定性分析相结合的方法综合分析,最后依据分析结果开展绩效评价。 (2)因素分析法。综合分析影响项目绩效目标实现、实施效果的内外部因素,挖掘深层次原因。 为全面反映2023年国家免费孕前优生检查经费项目资金投入与使用、项目目标实现情况及项目效益发挥等重要内容,根据项目实际情况,参照《财政部关于印发〈项目支出绩效评价管理办法〉的通知》(财预〔2020〕10号)文件,本次从项目决策、过程、产出、效益四个方面设计2023年国家免费孕前优生检查经费项目绩效评价指标体系,对项目进行综合评价。具体评价指标内容如下: 1.决策:指标权重11分,从项目立项、绩效目标、资金投入三个方面进行绩效评价,具体包括:项目立项依据充分性、项目立项程序规范性、绩效目标合理性、绩效指标明确性、预算编制科学性等。 2.过程:指标权重23分,从资金管理和项目管理两个方面进行绩效评价,具体包括:资金到位率,预算执行率,资金使用合规性,管理制度健全有效性,项目质量控制等。 3.产出:指标权重39分,从产出数量、产出质量、产出时效及产出成本四个方面进行绩效评价,具体包括:项目目标人群覆盖率、早孕随访率、优生科学知识知晓率、妊娠结局随访率、项目完成及时性、成本控制情况等。 4.效益:指标权重27分,从经济效益、社会效益和可持续影响三个方面进行绩效评价,具体包括:减轻市民经济负担、自觉参与该项目的意识提高、提高优生优育率、有效降低出生缺陷的发生风险。 为加强对绩效评价工作的组织和管理,保障项目绩效评价工作的顺利开展,本次根据项目评价要求及实际情况成立绩效评价组(以下简称“评价组”),主要负责项目绩效评价的组织协调、现场评价、资料整理及报告撰写等工作。具体人员组成如下: 表1 2023年国家免费孕前优生检查经费项目绩效评价工作组 人员安排
(1)资料收集。评价组人员查阅相关文件资料,梳理项目基本情况,明确绩效评价的具体内容,确定绩效评价的关注点和评价方式,制定符合项目的评价指标体系及工作底稿。 (2)下达绩效评价通知书。通渭县财政局下达绩效评价通知书,明确评价任务、对象、内容、工作进程安排、需被评价单位提供的资料等。 (1)资料查阅。一是现场对项目管理资料和财务账目资料进行查阅和核查;二是就资料查阅中发现的问题与项目负责人和财务负责人沟通、核实;三是了解项目情况,包括项目实施及投入运行情况等。 (2)现场评价。评价组对2023年国家免费孕前优生检查经费项目开展现场调研工作,对前期获取的数据进行复核查验,现场察看项目实际进度、建设情况、运行情况,以保障数据收集的真实性与客观性。同时,通过现场访谈了解项目的实施情况、群众知晓度、项目效益发挥情况等。 (3)梳理问题清单。评价组对资料查阅和现场评价发现的问题进行整理、汇总,与项目负责人沟通核实后,梳理出项目问题清单。 评价组运用科学的方法对收集的数据资料进行整理、汇总、分析。对照绩效评价指标体系,以佐证材料为支撑,根据考核标准和实际情况逐项评价打分,做到实事求是,客观公正。根据《财政部关于印发〈项目支出绩效评价管理办法〉的通知》(财预〔2020〕10号)文件,绩效评价结果采用评分和评级相结合的方式,总分设置为100分,等级划分为以下四档: 优:90分(含)-100分;良:80分(含)-90分; 中:60分(含)-80分;差:60分以下为差。 根据各评价指标得分分值的总和,确定评价对象最后的评价等级。 (1)撰写报告初稿。按照拟定的报告提纲,以项目数据为支撑,参考相关文件资料,挈领提纲、突出要点、提炼亮点,分点陈述存在的问题并提出针对性强的建议,形成绩效评价报告初稿。 (2)报告内部质控。评价报告初稿撰写完毕后,绩效部长对评价报告的完整性、合理性、充分性、逻辑性等进行公司内部报告质控审核,修改完善报告初稿。 (3)征求反馈意见。评价报告初稿经质控审核修改完毕后,第三方绩效评价机构就评价报告征求委托方反馈意见。 (4)提交报告终稿。第三方绩效评价机构对委托方的反馈意见逐一核实,对评价报告进行修改和完善,在规定时间内将评价报告终稿提交委托方。 5.归集评价档案。评价组按照完整、有序、规范的要求,及时对评价业务资料进行收集、整理、建档工作。归档资料包括但不限于:委托评价协议(合同)、评价项目基本情况和相关文件、评价指标体系及评分表、基础数据报表、评价工作底稿及附件、绩效评价报告等。 四、绩效评价结论 本次绩效评价得分结果是依据绩效评价指标体系,基于项目单位提供的全面而准确的佐证材料,以及评价组根据现场收集分析资料、实地勘查及实地访谈等方式了解到的项目实际情况,严格按照绩效评价指标体系进行打分,计算出评价得分为:94分。根据《财政部关于印发<项目支出绩效评价管理办法>的通知》(财预〔2020〕10号)文件,本次项目绩效评价结果等级为:优。 总体认为,通渭县2023年国家免费孕前优生健康检查项目目标任务数圆满完成,共完成免费孕前优生健康检查项目1158对,完成目标任务的100%。通过项目的实施,促使群众优生意识显著增强,“怀孕要计划,孕前先检查”的优生理念逐步深入人民,推动了出生缺陷预防关口前移,实现了孕前预防和群体预防,大大降低了出生缺陷发生的风险,育龄群众生殖健康和优生优育意识得到明显提高;该项目的实施促进了居民健康意识的提高和不良生活方式的改变,逐步树立起自我健康管理的理念,建立起优生优育的第一道保护墙。 表2 2023年国家免费孕前优生检查经费项目绩效评价评分表
表3 项目决策类各项指标绩效评价得分表
项目立项指标分值4分,得分为4分。为加速实现出生缺陷综合防控,强化政府在出生缺陷防治工作中的主导作用,加大资金投入,全面落实出生缺陷三级预防措施,根据《国家免费孕前优生健康检查项目试点工作技术服务规范(试行)》(国人口发[2010]31号)、《国家免费孕前优生健康检查项目工作方案》(国卫办妇幼函[2016]894号)和《国家免费孕前优生健康检查项目管理工作规范(2019年版)》,按照省财政厅、省卫生健康委《关于提前下达2023年基本公共卫生服务中央及省级补助资金预算的通知》(甘财社[2022]94号)和定西市卫生健康委《关于印发2023年基本公共卫生服务重大传染病防控等妇幼健康服务项目实施方案的通知》(定卫疾控发[2023]5号)要求,由通渭县卫生健康局牵头,县财政局、县民政局配合,加大财政投入,将婚检经费、0-6岁儿童视力筛查经费、女性职工体检以政府购买公共服务等方式,列入县级财政预算。县妇幼保健院加强出生缺陷防控工作落实,加强对孕前优生健康检查、叶酸增补项目的实施和管理,全面推进目标人群项目全覆盖,不断夯实一级预防基础。规范出生证明办理和听力筛查在县妇幼保健院的运行模式,提高听力筛查准确率,保证筛查质量,并及时对阳性患儿转诊并救助。 根据评分标准,项目立项指标得分4分。 绩效目标指标分值3分,得分为3分。经核查,通渭县妇幼保健院根据项目资金要求及重点工作任务编制了项目总体绩效目标,绩效目标与项目实施内容相关,绩效目标与预算确定的项目资金量相匹配,项目绩效目标细化分解为具体的绩效指标,通过清晰、可衡量的指标值予以体现,项目目标任务数或计划数相对应。 综上,根据评分标准,绩效目标指标得3分。 资金投入指标分值4分,得分为4分。县妇幼保健院依据项目内容进行测算编制,预算编制经过科学论证,预算内容与项目内容匹配,预算额度测算依据充分,按照标准编制,预算确定的项目投资额或资金量与工作任务相匹配。 根据评分标准,资金投入指标得分4分。 (二)项目过程(23分)(-3分) 表4 项目过程类各项指标绩效评价得分表
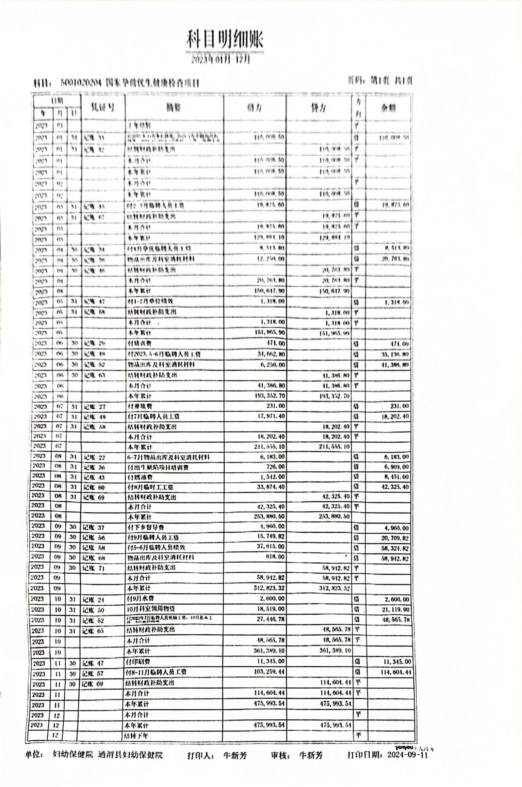
资金管理指标分值14分,得分为14分。截至2023年12月31日,2023年国家免费孕前优生检查经费项目共计到位11.00万元,经评价组现场核查,该项目实际支出资金11万元,资金支出进度100%;经查阅项目财务资料,国家免费孕前优生健康检查资金实行专账专户管理,确保专项经费专项支出。财务管理制度健全,支出符合国家财经法规和财务管理制度规定;资金拨付程序规范,资产管理制度健全,定期对资金使用情况进行检查,严格确保项目质量;财务管理按规定执行,符合有关财务会计管理规定。随着财务制度的不断完善,资金使用率也不断提高。 根据评分标准,资金管理指标得分14分。 组织实施指标分值9分,得分为6分。经核查《2023年通渭县国家免费孕前优生检查项目实施方案》该项目编制了科学合理的项目实施计划,如“项目目标、实施范围及目标人群、项目内容等;县妇幼保健院要建立健全各项质量管理制度,制定岗位职责。定期开展人员培训、指导基层开展咨询、随访及宣传工作、加强业务学习、特殊案例讨论和临床质量检查。建立转诊制度,对孕前优生健康检查不能确诊或高危疑难处置对象,转至上级妇幼健康和计划生育技术服务机构或医疗卫生机构。实验室质量管理:从事孕前优生健康检查的临床试验室应当建立检验前质量保证措施,制定本实验室标准操作规程;临床检验项目应按规范的检验方法进行,使用的仪器、试剂和耗材应当经食品药品监督管理部门批准。临床检验人员应严守操作规程,出具规范的检验报告。建立临床检验报告发放制度,保证临床检验的准确、及时和信息完整,还要做好保护受检者隐私;设专人负责临床检验质量管理。按照《临床试验室定量测定室内质量控制指南》(GB/T20468-2006)开展室内质量控制,按照《临床试验室室间质量评价要求》(GB/T20470-2006)定期参加室间质量评价。建立质量管理记录,包括标本接收、标本储存、标本处理、仪器和试剂及耗材使用情况、校准、室内质控、室间质评、检验结果、报告发放等内容。质量管理记录保存期限至少为2年;重视实验室生物安全,设专人负责临床试验室安全管理。按照《病原微生物实验室生物安全管理条例》、《生物安全实验室建筑技术规范》(GB50346-2004)、《微生物和生物医学实验室生物安全通用准则》(WS233-2002)设定实验室环境、空间、流程。建立并严格遵守生物安全管理制度与安全操作规程,按照《医疗废物管理条例》妥善处理医疗废物,但项目单位未根据项目实施情况制定项目管理制度,扣3分。 根据评分标准,组织实施指标得分6分。 (三)项目产出(39分) 表5 项目产出类各项指标绩效评价得分表
产出数量指标分值10分,得分为10分。经评价组现场查看项目资料及实地勘察项目情况了解,2023年国家免费孕前优生检查经费项目任务数为1158对,实际完成孕前优生健康检查1158对,任务完成率100。 根据评分标准,产出数量指标得分10分。 产出质量指标分值18分,得分为18分。经评价组现场查看项目资料及实地勘察项目情况了解,2023孕前优生健康检查项目评估为高风险因素1034人(男26人、女316人、双方均高风险692人),占比44.65%。孕前优生调查人数2296人,计划怀孕夫妇优生科学知识知晓人数2208人,知晓率96.17%;应随访3819人,已随访3550人,受检对象随访率92.96%;已孕随访185人、妊娠结局随访率89.70%。实验室室间质评优良率达100%。 根据评分标准,产出质量指标得分18分。 产出时效指标分值5分,得分为5分。经核查,该项目资金按规定时间下达,各项工作按照年初设定的时间及时完成。 根据评分标准,产出时效指标得分5分。 产出成本指标分值6分,得分为6分。经核查,该项目资金到位后立即投入使用,不存在资金闲置情况,截至2023年底,该项目实际支付资金在11万元以内,且未超出项目预算申请资金。 根据评分标准,产出成本指标得分6分。 (四)项目效益(27分)(-3分) 表6 项目效益类各项指标绩效评价得分表
经济效益指标分值7分,得分为7分。该项目实施严格执行项目经费支出管理,控制相应成本支出,提高资金使用效率,由专人负责追踪和规范随访,使免费普查产出效益明显,有利于项目的持续开展,有利于减轻市民经济负担。 根据评分标准,经济效益指标得分7分。 社会效益指标分值12分,得分为10分。该项目实施后,孕前健康检查的普及人们的认知意识不断提高,使工作顺利开展,呈现良好的发展势头,每年都超额完成指标数。使群众树立计划妊娠理念;提高了计划妊娠比例,提高了优生科学知识水平;增强了孕前风险防范意识;改善了计划怀孕夫妇的健康状况;降低或消除出生缺陷率,为家庭幸福创造条件。为社会的发展作出了重大贡献。但乡村两级干部对群众面对面宣传动员不够,目标人群对项目实施的意义、目的、检查内容并不知情了解,只是盲目依从,认为是来完成任务的,参与不积极、不主动,真正体现不了项目实施的目的意义。 根据评分标准,社会效益指标得分10分。 可持续影响指标分值8分,得分为8分。项目实施后,能够有效降低出生缺陷的发生风险,项目的可持续发展具有很好的延展性,让项目顺利开展,不断优化人口质量,提高出生人口素质,促进人口与经济社会协调发展。 根据评分标准,可持续影响指标得分8分。 六、存在问题及原因分析 (一)项目宣传力度不够,群众参与度不高 一是宣传力度不够,居民对该项服务的政策、规定了解不全,而且育龄妇女外出打工所占比例较大,流动性较大,公众缺乏接受服务的主动性。二是服务机构工作人员服务意识有待增强。部分服务实施效果不够理想,比如健康档案内容不完整、服务项目不真实,工作流于形式等等问题。 (二)项目实施不够规范 一是该项目目前主要靠乡镇政府来推动实施,对参检对象目标人群确认不准确。部分乡镇的个别干部为了完成自己所包村的任务,把不符合要求的对象动员来做体检,完成任务,影响项目实施质量。二是随访工作不到位。虽然随访服务率较高,但还有具体内容不及时、不准确、不专业、不规范的问题存在。项目实施的规范性和质量还有待提高。 (一)加大宣传力度,加强服务引导 建议项目单位加强服务引导,方便群众接受检查服务,利用基层工作网络进行信息采集,主动提醒服务对象接受检查服务。充分利用电视、广播、村委会广告栏及健康教育讲座进行宣传,大力宣传孕前优生健康检查知识,让公众对政策家喻户晓,并乐于接受服务,有效增强群众的孕前优生健康检查意识,提高参检率。强化妇计中心卫生基础,提升项目服务能力。服务人群不断增加与现有医疗资源相对缺乏的矛盾较为明显,因此要不断加强人才队伍建设和专业技术培训,提高项目的执行力。 (二)加强项目管理 一是建议县卫健局和县妇幼保健院进一步加强项目管理,靠实责任,落实各部门联动机制。从项目目标人群的组织摸底、宣传动员、筛选确认入手,确保“找到人、找准人”的问题,使农村计划怀孕夫妇参加项目体检的主动性和自觉性不断增强,进一步提高项目工作质量。二是加强业务培训,提高服务质量。加强项目专业技术人员培训,特别是要进一步规范乡镇随访服务人员的服务流程,靠实工作职责。严格按照项目规范要求,以临床检验、风险评估和随访服务等关键环节为重点,做细做实各项工作,切实提高服务质量;三是加强信息管理,确保项目数据真实准确。建议进一步充实工作人员,及时将检查信息录入系统,并按时完成评估。 附件1:2023年国家免费孕前优生检查经费项目绩效评价指标体系得分表
附件2:佐证资料
|
||||||||||||||||||||||||||||||||||||||||||||||||||||||||||||||||||||||||||||||||||||||||||||||||||||||||||||||||||||||||||||||||||||||||||||||||||||||||||||||||||||||||||||||||||||||||||||||||||||||||||||||||||||||||||||||||||||||||||||||||||||||||||||||||||||||||||||||||||||||||||||||||||||||||||||||||||||||||||||||||||||||||||||||||||||||||||||||||||||||||||||||||||||||||||||||||||||||||||||||||||||||||||||||||||
| 责任编辑:卫健局 责任校对:通渭县管理员 |
| 分享到: |
| [ 打印本页 | 关闭窗口 ] |
